Applications of 3D Body-Fitted PIC Techniques
to High Power Microwave Devices
Robert J. Kares
Applied Theoretical and Computational Physics Division
Los Alamos National Laboratory
The problem of simulating the operation of realistic three dimensional microwave devices with complex geometries and particle flows is both extremely challenging and at the same time of great practical interest. In this paper we illustrate the effectiveness of body-fitted particle-in-cell techniques by applying them to the problem of simulating the performance of the Los Alamos Large Orbit Gyrotron high power microwave source, a three dimensional device of considerable geometric and operational complexity. These body-fitted techniques are incorporated in the Los Alamos 3D electromagnetic parallel PIC code ISIS which is used in the study of the Large Orbit Gyrotron device.
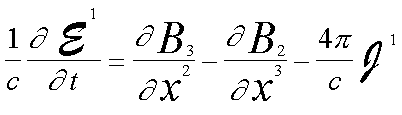
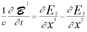
In the body-fitted PIC approach utilized by 3D ISIS a block structured hexahedral mesh is generated in such a way that the resulting coordinate lines conform exactly to the boundaries of the problem geometry in 3D thus avoiding the well known problems associated with stair-step boundaries encountered in rectangular mesh codes. The result is a general curvilinear coordinate system which is tailored to the geometry of the problem of interest. In such a curvilinear coordinate system the 1-component of the two Maxwell curl equations can be written in the form,
![]()
![]()
and similarly for the 2 and 3 components where the fields,
![]()
![]()
are contravariant vector densities. Taking these as the fundamental computational variables Maxwell’s equations are solved by explicit finite differencing on the curvilinear mesh. The differencing scheme chosen preserves the divergence constraints in time provided that charge is conserved locally on the grid. The current weighting scheme used in 3D ISIS is locally conservative and utilizes quadratic splines as particle shape functions to reduce electromagnetic noise. The ISIS code is fully 3D, electromagnetic and relativistic, supports emission of multiple particle species from surfaces, provides conducting, wave launching and wave transmitting boundary conditions, and supports the use of external magnetic fields from arbitrary 3D coil systems. 3D ISIS is implemented as a massively parallel code on the CRAY T3D.
The Large Orbit Gyrotron provides a challenging application of the ISIS body-fitted PIC technology. This device consists of a high current vacuum diode in which an annular e-beam is generated coupled to a microwave resonant structure. The annular 6.9 kA, 840 kV beam is emitted from a knife edge on the surface of the shaped cathode and is passed through an external cusp magnetic field which spins up the beam. The rotating e-layer is then injected through a slotted aperature into a 3-vaned magnetron structure where it resonantly interacts with discrete modes of the structure to produce microwaves. The entire device including both diode and resonator is simulated in 3D.
We discuss the accuracy of solutions obtained on the curvilinear grid and the structure of the vacuum modes of the resonator extracted by Fourier transformation of time domain solutions. We then examine the resonant operation of the device when the cavity is driven by the rotating e-layer and identify a mechanism which may limit the high power operation of the device.

Figure 1 Cutaway view of the Large Orbit Gyrotron device. The e-beam diode with its cathode disk and knife edge emitter are visible in the rear. The 3-vaned resonator appears in the foreground together with a transverse slice through the computational mesh.